¿Qué son los campos?
En física, un campo representa la distribución de «algo» es decir, es una propiedad que puede medirse en el entorno de cada punto de una región del espacio para cada instante del tiempo.
Matemáticamente, los campos se representan mediante una función definida sobre una cierta región. Gráficamente, se suelen representar mediante líneas o superficies de igual magnitud.
Campos Escalares

En matemáticas y física, un campo escalar representa la distribución espacial de una magnitud escalar, asociando un valor a cada punto del espacio. En matemáticas, el valor es un número; en física, una magnitud física.

Un campo escalar es una función que a cada punto del espacio le asigna un valor de una magnitud escalar, definida por un número (su magnitud) con su signo, y su unidad.
Suponga que a cada punto (x, y, z) de una región en el espacio le corresponde un número (escalar) Φ(x, y, z). Entonces Φ se denomina función escalar de posición, y decimos que se ha definido un campo escalar Φ.
Ejemplo: Φ(x, y, z)= 3x-2y+z
Curvas de Nivel
Son simplemente como se ve ese campo con con cierto parámetro estable, hay varios muy famosos, aquí se los dejo:


Círculo


Hipérbola


paraboloide


Paraboloide Hiperbólico


Hiperboloide
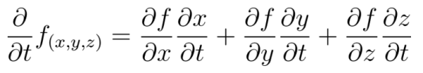
Derivada del Campo Escalar

Campos Vectorial
Suponga que a cada punto (x, y, z) de una región en el espacio, le corresponde un vector V(x, y, z). Entonces V se llama función vectorial de posición, y decimos que se ha definido un campo vectorial V.
Ejemplo: V(x, y, z)= (3x+2)i+(2z)j+(y+3x)z

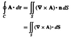
Campo Conservativo
Es un campo vectorial bastante especial, te contaré los requisitos para que tu campo vectorial sea conservativo:
- Su rotacional es cero.
¡Listo!
Si lo anterior es cierto, entonces existe un campo escalar tal que:

Entonces podemos decir que el campo escalar contiene toda la información del campo original, también lo llamamos CAMPO POTENCIAL.
Y podemos definir 2 características que te serán muy útiles en el futuro:
- La integral es independiente de la trayectoria.

- La integral cerrada siempre será cero, sin importar la trayectoria.

Ahora es hora de que vamos a la guerra si o si, vamos por las Integrales ¡Corre!