Producto Punto y Cruz

Anuncios

Ok, esto se esta poniendo interesante, ahora vayamos con un tema que muchas veces termina haciendo que odiemos la materia.

Empecemos por lo obvio, en Análisis Vectorial hay dos clases de productos, no como en las matemáticas de toda la vida ¿porque? ni yo lo se.

Lo que si se es diferenciarlos:

  • Producto Punto es cuando multiplicamos dos vectores y nuestro reultado es un escalar (un número, vamos).
  • Producto Cruz es cuando multiplicamos dos vectores y nuestro resultado así como en la suma es otro vector.

Así que empecemos con el más sencillo.

 

 


Producto Punto

El producto punto se llama así simplemente porque ponemos un punto para saber que estamos hablando de esa operación.

Bueno, ¿pero como la hacemos?

Muy buena pregunta, y es sencillo, sigan la formúla : )

punto

¿Y qué significa esto? ¿De dónde sale esto?

No tienes idea de cuanto, cuanto tiempo me tomo descubrir esto, y no se preocupen, que pronto les dire, pero antes veamos otra forma de hacerlo, como no, por componentes:

punto2.png

Es muy importante la parte de abajo, y les intentaré explicar que dicen mis dibujos, y es que basicamente cuando tu multiplicas las componentes puedes obtener dos resultados:

  • Si las compontentes que estas multiplicando son la misma (i • i , por  ejemplo) y entonces el resultado es un simple 1, no un vector ni nada, solo un 1.
  • Si no son las mismas, no le des mas vueltas, la respuesta es siempre 0.

Producto Punto y Cosas Perpendiculares

Este es un dato curioso (y muchas veces muy útil) es que si el producto punto te sale 0, es que ambos vectores son perpendiculares. SIEMPRE.

 

Producto Punto y Angulo

Se puede reordenar la fórmula del producto punto para poder facilitar encontrar el ángulo entre 2 vectores.

ángulo.jpg

 

¿De donde sale la fórmula del Producto Punto?

Ok, esto tal vez no se los vayan a preguntar en un exámen, pero siempre ayuda muchisímo saberlo, pues ya tienes un super interesante tema de conversación (… y luego me pregunto porque esto soltero XD).

Bueno, empecemos:

proyecccion.png

Proyección de A en B

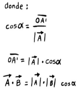
Este dibujo representa lo que nosotros vamos a llamar la proyección de un vector (en terminos mortales la «sombra» de un vector con respecto a otro» ).

Lo importante de este diagrama, es darte cuenta de donde sale el coseno, la proyección es simplemente A cos θ. ¡De ahí sale el coseno de a fórmula!

A continuación les dejo un montón de calculos matemáticos que no son necesarios que entiendan aún, pero quería ponerlos : )

proyeccion

Ahora sí, ya tenemos todo lo necesario para descubrir de donde salió la fórmula y es que vamos a verlo de forma gráfica (osea con más dibujitos ¡wiii!).

Forma Geométrica

«El producto de dos vectores es igual al módulo de uno de ellos por la proyección del otro sobre él».

Esta es una definición más formal pero justo lo que necesitamos para entenderlo.

proy2

proy3.png

Y ¡bingo!

¿Qué demonios hiciste?

Seguí la definición, el producto punto es igual al módulo de uno de ellos por la proyección del otro sobre él, expandí un poco más que es la proyección usando los calculos de allá arriba y apareció el coseno juto como lo esperabamos, y llevamos a la formula que siempre hemos conocido.

¿Es necesario que entienda lo que acaba de pasar? Por supuesto que no, siempre es divertido, pero esta bien si no entendiste una pinola de lo que esta allá arriba.


Producto Cruz / Vector

«El producto vectorial de dos vectores es otro vector cuya dirección es perpendicular a los dos vectores».

No es una definición en sí pero nos sirve para empezar a trabajar.

¿Qué pasa si hacemos el producto cruz con puras componentes?

Fácil.

Esto.

cruz

Truco para el P. Cruz

Este es un pequeño diagrama que muestra que pasa cuando multiplicamos componentes con el producto cruz, así que vamos a explicar el diagrama:

  1. Pon tu dedo en el primer elemento a multiplicar
  • Si el segundo elemento es el que apunta la flecha entonces la respuesta es la componente a la que apunta la flecha que sale de tu segunda componente a multiplicar
  • Si el segundo elemento NO es el que apunta la flecha entonces la respuesta es el inverso de la componente que queda.

 

 

 

Tambien podemos entender el modulo o la magnitud del vector resultante como el área de la figura que forman los vectores.

cruz2.png

Sentido

Esto es mas dificil para mi del producto cruz…¡Saber a donde va, hacia arriba o hacia abajo!

No te preocupes, te daré una idea que espero que pueda ayudarte a entender esto mejor.

  1. Imaginate o dibuja ambos vectores en el plano.
  2. Si el camino de A a B es en el sentido de las manecillas del reloj entonces el vector resultante será hacia abajo.
  3. Si es en contra de las manecillas entonces será hacia arriba.
  4. ¡Listo!

¿No me crees? Pues por un lado entonces no se porque sigues haciendo leyendome, pero no importante, la ciencia no se basa en confianza pura y ciega, y eso es lo que me encanta, así que aquí esta la prueba.

Bueno, ¿pero como hacemos la operanción en sí?

Muy buena pregunta, y es sencillo, con eso del sentido fuera del camino, podemos volver a hacer unos esquemas con las fórmulas como las de arriba del producto punto, pero para el producto cruz.

cruzbien.png

O como no podría ser de otra manera, podemos sacarlo por componentes usando matrices (pronto tambien tendré una lección solo dedicada a esto).

Así que en resumen, pueden seguir la fórmula de aquí abajo, si les dan los vectores como componentes.

cruz5.png

Producto Cruz y Cosas Paralelas

Este es un dato curioso (y muchas veces muy útil) es que si el producto cruz te sale 0, es que ambos vectores son paralelos. SIEMPRE.


Producto Mixto

Esto no es mas que una clase algo rara de una combinación de ambos, pero si alguno lo necesita, aquí esta:

mixto.png

¡Listo! Ya podemos quitarnos las cosas básicas, es hora de empezar a ver como se deriva y se integran vectores…

¿O no?

Recuerdas como te dijeron en la prepa que el Cálculo era fundamentalmente el estudio (si a derivar e integrar le pueden decir estudio) de las funciones.

Pues bueno, para poder derivar e integrar,primero habrá que crear o descrubir (una duda clásica en mate) las FUNCIONES VECTORIALES. Así que vamos.

Da click para verlas y ver como diferenciarlas.

btn1 btn
btn
Anuncios

3 comentarios sobre “Producto Punto y Cruz

  1. Estas lecciones son divertidas y muy útiles. Ojala me dieran así las clases en la escuela, porque si me las dieran así, no estaría investigando el por qué de las cosas.

    Me gusta

  2. Primero que nada, muchas gracias por tomarte el tiempo de hacer esta explicación y segundo, me encantó tu redacción hecha para mortales jaja XD

    Me gusta

Deja un comentario