Saltar al contenido
Compilando Conocimiento
Compilar es Compartir
Menú principal
Menú
Biblioteca: Libros para ti
Reference
¿Que es esto? / ¿Quién somos?
Github y Código Fuente
Posts: Cálculo Vectorial
Posts: Estructuras de Datos
Posts: Álgebra Lineal
Posts: Ecuaciones Diferenciales
Posts: Cálculo
Posts: Java y POO
Posts: Lenguaje C
Posts: Electrónica Digital
Posts: Electrónica Analógica
Posts: Teoría Computacional
Posts: Matemáticas Discretas
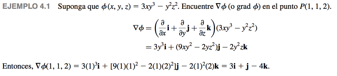
gradiente-exp
18 diciembre, 2016
18 diciembre, 2016
Oscar Rosas
Navegador de entradas
←
Gradiente ∇Φ: De Escalar a Vector
Deja un comentario
Cancelar la respuesta
Δ
Privacidad y cookies: este sitio utiliza cookies. Al continuar utilizando esta web, aceptas su uso.
Para obtener más información, incluido cómo controlar las cookies, consulta aquí:
Política de cookies
Comentar
Suscribirse
Suscrito
Compilando Conocimiento
Únete a otros 77 suscriptores
Suscríbeme
¿Ya tienes una cuenta de WordPress.com?
Inicia sesión
.
Compilando Conocimiento
Suscribirse
Suscrito
Regístrate
Iniciar sesión
Copiar enlace corto
Denunciar este contenido
Ver la entrada en el Lector
Gestionar las suscripciones
Contraer esta barra