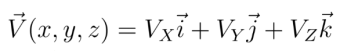
Antes que todo volvamos a definir otro campo vectorial bien bonito (en este caso que sea diferenciable en todos los puntos):

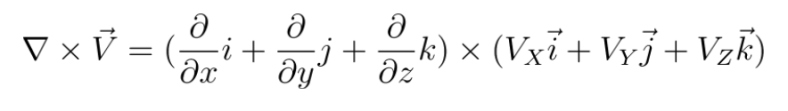
Entonces, el rotacional se denota se define como :

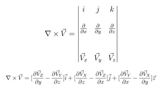
Del mismo modo también se puede expresar en la forma de un determinante:

El concepto de rotacional es similar al de divergencia en el sentido de que proporciona información acerca del campo vectorial, pero se trata de una información diferente y algo más difícil de visualizar.
Dicho fatal, ∇× V nos da una idea de la turbulencia del agua en ese punto; dicho un poco menos mal, indica hacia dónde y cómo de rápido giraría una pelota sumergida en ese punto de la bañera.

∇ × V = 0 Quiere decir que no gira la pelota hipotética.
Esto es conocido como un campo irrotacional, y que un campo cumpla esta condición lo convierte en un campo conservativo.
Si ponemos la pelota en cualquier punto de la región izquierda, pasará lo mismo de antes, y si la ponemos en la región derecha, pero ¿qué pasa si la ponemos justo en el borde entre ambos flujos de agua? ¡Ah, ahí la cosa cambia!

La pelota recibe agua en un sentido por su izquierda, y agua en sentido contrario por su derecha, de modo que –si no es absolutamente lisa, y en nuestra analogía no lo es porque lo digo yo– la pelota girará. En esa línea de frontera entre ambas regiones, el rotacional no es cero. De modo que aquí sí, podemos decir si gira mucho o poco y hacia dónde.
![]() |
![]() |
![]() |
|



