
En esta lección me voy a centrar en los números enteros, pero antes de eso, creo apropiado hablarles de lo que hay más allá:
- Naturales
- Enteros
- Racionales
- Irracionales
- Reales
Pero déjame los ordeno para ti, para que sea más fácil:
- Reales: Conjunto que es la unión de los dos de abajo
- Racionales: Conjunto de números que se pueden expresar como una fracción
- Enteros: Son un pequeño conjunto dentro de los racionales, que son lo que veremos
- Naturales: Son los números enteros mayores a 0.
- Irracionales: Conjunto de números que NO se pueden expresar como una fracción.
Naturales
Los naturales son muy importantes para los matemáticos, si principal razón es que estos son la base de trabajo de la arma más poderosa de todos los matemáticos: La Inducción Matemática, da click y aprende de ella.
¿Los naturale incluyen el 0?
Eso siempre se me olvida, y después de preguntarles a varios matemáticos me dijeron que…NO.
- Los Naturales Puros no incluyen el cero
- Los Naturales Ampliados si que lo hacen
Esos tipos siempre tienen la respuesta a todo
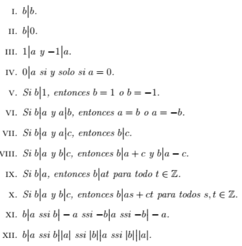
Divisibilidad
Este concepto es algo difícil (al menos para mi) de comprender pero se puede sintetizar en que división de ambos pertenece a los números enteros, (ósea que es entero pues).
De manera formal, sean
números enteros. Decimos que
divide a
si existe otro entero
tal que
. La notación que usaremos para decir que
divide a
será
. Algunas propiedades de la divisibilidad son:

Usualmente también decimos, para la notación
, que
es divisible entre
, o que
es múltiplo de
.
Algoritmo de la división
Nosotros venimos dividiendo desde la primaria, en donde si queríamos dividir a
entre
, obteníamos un cociente (llamémosle
) y residuo (llamémosle
). Pues de manera algebráica, estos cuatro números cumplen con la relación
, donde
.
Vemos que la primera relación, básicamente nos dice cuántas veces cabe
en
sin pasarse y, para que se cumpla esto último, requerimos que el residuo
sea un entero menor a
pero mayor o igual a cero, de ahí la segunda relación.
Resulta evidente (pero esto no es obvio, se demuestra por inducción), que para cualesquiera
con
existen
únicos que cumplen con lo anterior.
Ejemplo. Efectúa la división de 47 entre 6. Vemos que el 6 cabe 7 veces en el 47 sin pasarse y sobran 5. Entonces,
, así
y
.
Cuando tenemos que efectuar la división con números negativos, tenemos que cuidar que ambas condiciones se sigan cumpliendo, en especial la de
.
Números primos
Decimos que un
es primo si:
.
- Sea
. Si
, entonces
o
.
Es decir, todos los números primos son mayores o iguales a 2 y solo los naturales
y
dividen a
.
Sean
. Decimos que
y
son primos relativos si no existe un
primo tal que
y
.
Máximo Común Divisor
Este concepto es algo intuitivo, ya que se refiere al máximo numero natural que sea capaz de dividir a otros dos números enteros
y
. Pero ni modo, también tenemos que formalizar lo anterior y queda así:
Sean
. Decimos que
es el máximo común divisor de
y
si:
.
y
.
- Sea
tal que
y
, entonces
.
Usaremos la notación
.
Ok, vayamos por partes entendiendo cada punto de la definición:
- El primero es sencillo, quien quiera ser el máximo común divisor de
y
tiene que ser entero positivo, o natural simplemente. Digamos que nuestro candidato es
.
- Luego, obviamente,
también tiene que dividir a
y a
, ¿si no por qué se llamaría común?
- Finalmente, si llega algún otro entero
que dice ser el máximo común divisor de
y
, tenemos que
tiene que dividir a
; esto nos garantiza que
sea en efecto el máximo común divisor.
Tenemos las siguientes propiedades, donde
y
es primo:
- Por convención, asumamos que
es una indeterminación, para ahorrarnos problemas.

- Si
, entonces
.
- Si
, entonces
.
- Si
, entonces
.

- Si
y
, entonces 

o 
- Si
, entonces
o 
y
son primos relativos si y solo si 
Pero te preguntarás, ¿cómo puedo calcular
de manera rápida, sin tener que recurrir al tanteo?
Algoritmo de Euclides
Sí, Euclides contribuyó también en teoría de números aparte de geometría. Sean
no ambos cero. Su algoritmo sirve para calcular
con una repetida aplicación del algoritmo de la división.
Usaremos la quinta propiedad de la lista anterior, escogiendo
y
mediante el algoritmo de la división. Sin pérdida de generalidad asumamos que
y que
. Debido a que
y que
, usaremos recursividad para llegar a un punto en que tengamos que calcular algo como
, y eso es igual a
. Veamos cómo:
- Comencemos asignando
,
y
.
- Mientras
:
- Sea esta la
-ésima iteración.
- Efectuemos el algoritmo de la división para dividir
entre
, es decir, hallemos
tales que
con
.
- Aumentemos
en
(solo para llevar el orden del algoritmo).
- Tenemos que
.
Veamos un ejemplo:
Problema. Halla el máximo común divisor de
y
.
Solución. Comencemos asignando los residuos iniciales:
y
. Entonces:

Por lo tanto,
. Vemos que la secuencia de residuos que obtuvimos fue:
; y que el valor de
es el último residuo distinto de cero.
Identidad de Bézout
Sean
no ambos cero, entonces existen
tales que
. Es decir, existe una combinación lineal de
y
tal que es igual a su máximo común divisor.
Esta identidad es muy poderosa, ya que nos permite demostrar muchas proposiciones que involucran divisibilidad y máximo común divisor. Por ejemplo, tenemos el teorema que afirma que si existen
tales que
, entonces
.
Algoritmo extendido de Euclides
Este algoritmo nos sirve para hallar
que satisfagan la identidad de Bézout, además del mínimo común múltiplo de
y
. Vamos a proceder con base en el Algoritmo de Euclides, pero agregando unos pasos extra:
- Comencemos asignando
,
,
,
,
,
y
.
- Mientras
:
- Sea esta la
-ésima iteración.
- Efectuemos el algoritmo de la división para dividir
entre
, es decir, hallemos
tales que
con
.
- Asignemos
y 
- Aumentemos
en
(solo para llevar el orden del algoritmo).
- Tenemos que
.
Tomemos de nuevo el ejemplo anterior, pero esta vez llevando los valores en una tabla:

Por lo tanto,
. De hecho nos pudimos haber ahorrado calcular
y
en la sexta iteración, ya que el residuo obtenido ahí (
) es
y con eso terminamos. Sin embargo, resulta que
, donde la fracción
está en su mínima expresión. En este caso,
. Otra utilidad más de este algoritmo, qué impresionante.
Ahora analicemos por qué funciona este poderoso algoritmo:
Básicamente primero aplicamos el algoritmo normal, y una vez que terminemos, vamos despejando los residuos de cada ecuación de tal forma que siempre queden como combinación lineal de
y
. Tomando el ejemplo de
y
tenemos que:

![46=10 \times 4+6 \Longrightarrow 6=46-4(10)=46-4[(1)(240)+(-5)(46)]=(-4)(240)+(21)(46)](https://s0.wp.com/latex.php?latex=46%3D10+%5Ctimes+4%2B6+%5CLongrightarrow+6%3D46-4%2810%29%3D46-4%5B%281%29%28240%29%2B%28-5%29%2846%29%5D%3D%28-4%29%28240%29%2B%2821%29%2846%29&bg=ffffff&fg=555555&s=0&c=20201002)
![10=6 \times 1+4 \Longrightarrow 4=10-1(6)=[(1)(240)+(-5)(46)]-[(-4)(240)+(21)(46)]=(5)(240)+(-26)(46)](https://s0.wp.com/latex.php?latex=10%3D6+%5Ctimes+1%2B4+%5CLongrightarrow+4%3D10-1%286%29%3D%5B%281%29%28240%29%2B%28-5%29%2846%29%5D-%5B%28-4%29%28240%29%2B%2821%29%2846%29%5D%3D%285%29%28240%29%2B%28-26%29%2846%29&bg=ffffff&fg=555555&s=0&c=20201002)
![6=4 \times 1+2 \Longrightarrow 2=6-1(4)=[(-4)(240)+(21)(46)]-[(5)(240)+(-26)(46)]=(-9)(240)+(47)(46)](https://s0.wp.com/latex.php?latex=6%3D4+%5Ctimes+1%2B2+%5CLongrightarrow+2%3D6-1%284%29%3D%5B%28-4%29%28240%29%2B%2821%29%2846%29%5D-%5B%285%29%28240%29%2B%28-26%29%2846%29%5D%3D%28-9%29%28240%29%2B%2847%29%2846%29&bg=ffffff&fg=555555&s=0&c=20201002)
De manera general, en cada iteración comenzando con
queremos expresar
como combinación lineal de
y de
, es decir,
con
. Pero por definición de
tenemos que
. Combinando ambas ecuaciones llegamos a:

Por lo tanto,
y
. Ahora tenemos que hallar los valores iniciales de
y
, es decir,
. Tenemos que:


Finalmente, supongamos que en la
-ésima iteración tenemos
. Como tenemos que dividir
entre
y no podemos dividir entre cero, nos detenemos ahí y vemos que:

Tenemos garantizado que este algoritmo siempre terminará, ya que la secuencia de los residuos es decreciente y en alguna iteración tendremos que
, ya que por el algoritmo de la división,
para
, y generalizando a todos los residuos,
.
Ecuaciones diofánticas
Resulta que los enteros
que satisfacen la identidad de Bézout no son únicos, por ejemplo, tomando el caso de
y
también tenemos que
.
Supongamos que queremos hallar las soluciones enteras de la ecuación
, donde
. Esta ecuación tendrá soluciones enteras si y solo si
.
Para ver que
implica que la ecuación tenga soluciones enteras; vemos que existen
tales que
, pero también
para alguna
, entonces
, por lo que claramente una solución será
y
, donde
.
Para ver que el hecho de que la ecuación tenga soluciones enteras implica que
; supongamos que la solución es
y
, así
. Pero
y
, entonces
dividirá a cualquier combinación lineal de
y
, y qué mejor que divida justamente a
, así
, por lo tanto
.
Veamos muchos ejemplos de lo anterior:
Problema. Determina si la ecuación
tiene soluciones enteras, y en caso de tenerlas, halla una.
Solución. Al efectuar el algoritmo extendido de Euclides con
y
tenemos que
. En esta ecuación
, y como
, la ecuación sí tiene soluciones enteras. Tenemos que
,
y
, por lo que una solución será
y
.
Problema. Determina si la ecuación
tiene soluciones enteras, y en caso de tenerlas, halla una.
Solución. Al efectuar el algoritmo extendido de Euclides con
y
tenemos que
. En esta ecuación
, y como
, la ecuación no tiene soluciones enteras.
Ahora, determinemos la estructura de las soluciones de este tipo de ecuaciones. Sea
y
una solución de la ecuación
, entonces
y
forman la familia de soluciones de la ecuación para toda
.
Para comprobar que esas son soluciones, basta con sustituirlas y ver que satistagan la ecuación:

(por la suposición de que
y
es una solución).
Por último, para demostrar que las soluciones anteriores en realidad nos dan todas las soluciones, supongamos que tenemos otra solución
además de la inicial
, entonces:

Restando obtenemos que:

Dividiendo entre
obtenemos:

Vemos que
, pero como
y
son primos relativos, entonces
, por lo que existe
tal que
, así
. Finalmente obtengamos
al sustituir en la ecuación inicial:

Ejemplo: retomando la ecuación
, obtuvimos una solución inicial
, por lo tanto, la estructura de sus soluciones será:



Si tomamos
, obtendríamos las soluciones
.
Sistemas de numeración
Seguramente recordarás en cursos anteriores que descomponías un número en unidades, decenas, centenas, etc. Por ejemplo, en el número 468 tenemos 8 unidades, 6 decenas y 4 centenas. Igual recuerdas que el valor de un dígito depende de su posición, de hecho esta es la característica principal de los sistemas de numeración posicionales: el número 8 vale 8, el 6 vale 60 y el 4 vale 400; en efecto, 8+60+400=468.
De manera general, tomando un
, podemos representarlo mediante sus
dígitos en base 10 de la siguiente forma:

Donde todos los
son dígitos, es decir,
y
. Por ejemplo,
, por lo que
,
y
.
Sin embargo, la definición anterior nos permite generalizar e introducir el concepto de un número
de
dígitos expresado en base
, donde
y
:

Para identificar que
está en base
, escribiremos
, excepto cuando
, en donde simplemente escribiremos
.
Ejemplo. Halla el valor de
en base 10.
Solución. Usando la definición tenemos que:

Al usar bases mayores a 10, usaremos las letras del abecedario. Por ejemplo, el conjunto de los dígitos en base 16 es
, donde
,
y así sucesivamente.
Ahora, veamos cómo convertir un número
en base 10 a cualquier base
:
- Asignamos
y
(solo para llevar el orden de las iteraciones).
- Sea esta la
-ésima iteración. Mediante el algoritmo de la división dividimos
entre
, es decir, obtenemos
tales que
con
.
- Si
vamos al paso 4, si no, asignamos
y vamos al paso 2.
- Tenemos que
. Es decir, concatenamos los residuos del último al primero para formar la representación en base
de
.
Ejemplo. Convierte el número
a base 7.
Solución. Tenemos que:
Por lo tanto,
.
Para convertir un número
de base
a base
, primero convertimos
a base 10 y luego a base
. Veamos cómo:
Ejemplo. Convierte el número
a base
.
Solución. Primero convirtamos
a base 10. Tenemos que:

Luego, convirtamos
a base 13, tenemos que:
Por lo tanto,
.