Estas ecuaciones son ecuaciones diferenciales que no son de primer orden, es decir en las que tenemos involucradas segundas, terceras, etc.. derivadas.
Estas se complican más pero curiosamente son más mecánicas (y por lo tanto para mucha gente más sencillas).
A continuación se presentan varias formas de solucionarlas:
Homogéneas
(Órden 2)
Recordemos, que a una ecuación la llamemos Homogénea cuando esta igualada a cero.
Nota: Para empezar a explicar estas ideas usaré de base que estamos trabajando una ecuación de grado dos, al final del articulo contaré como subir a ordenes superiores.
Estas son las más sencillas de todas, incluso mucho más que varias de primer orden incluso. Veamos, una ecuación diferencial lineal de orden 2 homogénea la podemos escribir así:
PASO 1: La Ecuación Original

Ecuación Original: Así recibimos el problema
PASO 2: Encontremos las soluciones del Polinomio Característico
A cada ecuación tenemos un «polinomio característico» que podemos escribir así:

Este es el polinomio que tenemos que igualar a cero para encontrar raíces
Esto nos da mucha información, la parte interesante de todo esto es encontrar sus raíces, así que antes de seguir, veamos varias técnicas que quizá te ayuden a encontrar las soluciones a dicho polinomio.
Recuerda: Encontrar las raíces de un polinomio no es mas que igualo a cero y encontrar todos los valores de r que cumplen dicha igualdad.
Quizá Ayude: Raíces Cuadradas de Complejos
Supongamos que llegamos a un punto en el que tenemos que encontrar la raíz cuadrada de un número complejo…

Podemos hacer un poco de Álgebra y ver que para encontrar estos valores, solo tenemos que hacer un sistema de ecuaciones:

Pero lo más fácil siempre es la formula directa, aquí la tienes:

Fórmula Super Pro
PASO 3: Armar las Phi’s
La respuesta de nuestra ecuación tendrá muchas partes, cada una de ellas las denotamos con la letra phi , cada phi esta relacionada a una raíz, por eso era necesario sacarlas, ahora, sin mas veamos como quedan las phi:

Formulazo (Supon r son las raíces del polinomio)
PASO 4 – FINAL: Armar la Solución «Homogénea»
La solución homogénea es bastante sencilla de encontrar con TODO LO QUE YA SABEMOS , ya que todas las soluciones tienen esta forma:

Esta es la solución a nuestro problema : `)
Ejemplo:
Veamos un ejemplo:

Generalización de Homogéneas
Incluso podemos encontrar una solución mas general en la que para una ecuación de n grado, encontramos su polinomio asociado, y sacamos las raíces.
Supongamos que tenemos una raíz de multiplicidad m (osea que se esta raíz se repite m veces), entonces para esa pura raíz tendríamos m phi’s asociadas a ella, cada una de la forma:

Donde k varía de 0 a m-1, y r es la raíz repetida.
Homogéneas: Caso Especial – Raíces Complejas
En estos casos podemos hacer más cosas, así que veamos que pasa en este caso especial: Vamos a simplificar esto aún más, imaginate que tenemos la siguiente expresión:
PASO 1: La Ecuación Original

Donde las a’s son dos números reales cualquiera
PASO 2: Raíces
Ahora supongamos que las raíces del polinomio característico:

Veamos como encontrar esas misteriosas alfa y beta:

Y ya solo de formulazo tenemos que:

PASO 3 – 4: Armar las Phi’s
Nota: Euler
Para entender estohay que saber antes las que consideramos las identidades de Euler:

Euler Rocks papu!
Usando lo que ya sabemos si que podemos llegar a saber de donde salió la Formula Re Util:

No olvides que d2 es imaginario : )
PASO 4: La Solución
Ahora podemos saber que ver que cualquier solución de escribe de la siguiente fórmula:

Formula Re útil
Variación de Parámetros: Constantes
(Órden 2)
Nota: Dependencia Lineal
Antes que ver los pasos tenemos que saber algunas cosas:
Dos funciones definidas en un invervalo, son linealmente dependientes en I, si existen dos constantes (diferentes de cero) tal que:

Y esto se cumple para todas las x dentro de ese intervalo.
Nota: Independencia Lineal
Dos funciones definidas en un intervalo, son linealmente dependientes en I, si las únicas dos constantes que cumplen para todas las x dentro del intervalo que:

Son (redoble de tambores) que ambas constantes son cero.
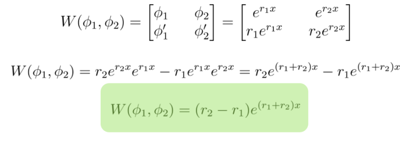
Notas: Wronskiano
Dos soluciones de phi1 y phi2 de L(y)=0 son linealmente independientes en Intervalo si y solo si lo siguiente es distinto de cero:

Por ejemplo si suponemos que las raíces son diferentes podemos hacer este formulazo:

Formulazo para cuando las raíces son diferentes : ‘ )
Para todas las x en el intervalo existe algo llamado Wronskiano de phi1 y phi2.
Si phi1 y phi2 son solucion de L(y) = 0 sobre algun intervalo, contiene un punto Xo, entonces:

Ejemplo de sacar un Wronskiano:
Veamos si estas dos funciones son dependientes:

Como ves, son independientes.
PASO 1: La Ecuación Original
Considera la seguinte ecuación que se parece mucho a lo que acabamos de hacer:

Ecuación Original
PASO 1.1: Entender como irá la Solución
Podemos re bautizar a lo que habidos hecho con las ecuaciones homogéneas, para que veas que la solución a LA ECUACIÓN QUE ACABO DE PONER bien esta fórmula:

O visto de otra manera queremos esto:

Otra forma de ver la solución
PASO 2.0: Encuentra la Parte Homogénea
Y recuerda la solución de la parte homogénea ya sabemos como sacarla

Esta es la parte homogénea
Así que ahora iguala tu ecuación original a cero y ve a encontrar tu solución como si fuera una ecuación homogénea de las de arriba, orale!
PASO 2.0.1: ENTENDER la Parte NO Homogénea
Ahora lo que queremos es encontrar una solución tal que:

Solución que cumpla con esto
Ahora solo queda expandir un poco lo que acabamos de decir:

Derivadas

Evaluando la función
Bueno, de la expresión terriblemente larga de arriba podemos deducir que:

Finalmente podemos saber ya que:

De forma diferencial
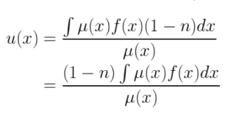
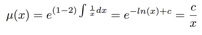
PASO 2.1: Encontrar las U’s
Y esas u’s salen de:

Formulazo
PASO 2.2: Armar la Parte Particular de la Solución
Esta parte tendrá la siguiente forma:

PASO 3: Armar la Solución Final
Recuerda, ya solo tiene que escribir tu solución, ya tienes ambas partes :

O visto de otra manera queremos esto:

Otra forma de ver la solución
Notas: Ejemplo de este Tipo
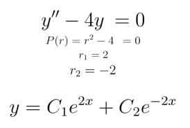
Resolvamos la ecuación diferencial
:
- Primero hallemos la solución asociada a la ecuación homogénea
. Su polinomio característico es
, cuyas raíces son
y
. Como
, la solución homogénea es:

- Ahora vamos a hallar la solución particular. Sea
, donde
y
son las soluciones que hallamos anteriormente. Calculemos el Wronskiano:

- Vemos que
, por lo tanto, usando el formulazo llegamos a:


- Así, la solución particular queda como:

- Sustituímos los valores de las raíces y llegamos a:

- Para que se vea más bonita nuestra solución homogénea, podemos aplicar los resultados de la sección anterior:

- Ahora sí, armamos nuestra solución general:




































































