Primero empecemos con algo que nos vendría muy útil aplicarlo siempre que podamos, las:
Ecuaciones de Variable Separada
Resulta que hay muchas maneras de escribir estas ecuaciones, podemos ir de una forma a otra con algo de álgebra, pero para que las conozcan les pondré sus formas mas conocidas:

Veamos como resolverlas:
PASO 0: ORDENA TU ECUACIÓN
El paso más largo de resolver esta ecuación es curiosamente colocar tu ecuación de la manera en la que esta arriba:
FORMA 1:

FORMA 2:

PASO 1: INTEGRA CON RESPECTO A CADA DIFERENCIAL
Ya que la has llevado a la forma necesaria, basta con hacer esto:

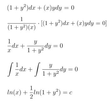
Ejemplo:
Dada la siguiente ecuación, despejamos e integramos como dijimos arriba:

Y ya al final solo ponemos a nuestra respuesta bonita :3

De Ecuaciones Homogéneas a Separables
Si una ecuación tiene esta propiedad entonces cumple con esta característica tan rara:
Si tu evaluar esa función con «x» y «y» multiplicada por una constante t eres capaz de reescribir tu función para factorial esa t (elevada a alguna potencia) entonces decimos que tu ecuación es homogénea.

Y decimos ese es de grado algo, osea, que si ese algo es cero, es de homogénea de grado cero, si es dos es homogénea de grado dos y así.
Una ecuación diferencial de primer grado se dice que es homogénea si es que cumple con que ambas funciones M(x,y) y N(x,y) sea homogéneas y del MISMO grado.

¿Y porqué me debería interesar un comino eso?
Porque podemos hacer CUALQUIERA de los siguientes cambios de variable y podemos reducir esta ecuación a una de variables separadas.

Ejemplo:


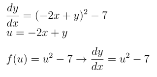
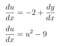
Reducción Separación de Variables
Si tenemos una ecuación del estilo

SIEMPRE se puede reducir a una de variables separadas cuando este cambio.

Y que se existe una función f(u), luego sacas su diferencial df(u) e igualas a dy/dx. Finalmente ya solo resuelves por variables separadas.
Ejemplo:



Ecuación Diferenciales Exactas
Son las que podemos denotar de la manera:

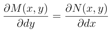
Para estar seguro que sean ecuaciones exactas, tenemos que hacer un paso más y es que:

Forma de comprobar
Si esto es cierto entonces podemos hablar entonces que tanto M(x,y) como N(x,y) son derivadas parciales de una función más básica, una f(x,y):

Esta es la verdadera identidad de nuestras funciones
Así que nuestro objetivo es ahora encontrarla:

Forma de solucionarlas
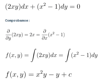
Ejemplo:

Para comprobarlas basta con sacar la diferencial de esta función, recuerdas como es que era para una función normal:

Diferencial Normal
Entonces para nuestra función sería algo así:

De aquí sacamos nuestra ecuación original
Forzar una Ecuación Exacta
Pero… y si quisiera que la ecuación que tengo fuera exacta, pero no lo es ¿Puedo «forzar» a que lo sea?

- Mu es la salvación
Pues si y no.
Para empezar, hay que encontrar si a nuestra ecuación la podemos forzar a ser, hay que encontrar el… Factor Integrante.
Para encontrarlo hay dos opciones, que sea por x o por y, así que veamos ambos casos:
Caso de X – Factor de X
Si el Factor es una función de X se tiene que cumplir que la siguiente operaciones nos arroje una función que solo depende de X.

Y entonces nuestro factor se puede calcular de manera muy fácil como:

Caso de Y – Factor de Y
Si el Factor es una función de Y se tiene que cumplir que la siguiente operaciones nos arroje una función que solo depende de Y.

Y entonces nuestro factor se puede calcular de manera muy fácil como:

Ahora vamos a hacer nuestra Ecuación Exacta
Y ahora, ya solo hay que multiplicar tu ecuación por ese factor y ahora tu nueva ecuación (SI TIENES TIEMPO COMPRUEBALA) es seguro que es exacta. 100% real, no fake.
Con esta nueva ecuación diferencial que ya es exacta, solo basta con usar el mismo método que el normal.
Veamos un ejemplo MUY resumido:


