Antes que nada (y para que no me coman antes de nada), las demostraciones de todo lo que estoy diciendo están abajo, pero ahora empecemos por lo bueno, las formulas:
¡Recordemos que es la Derivada!

Ahora y antes de seguir, tienes que saber que hay muchas, muchas maneras de escribir esta operación… muchas:

Antes que nada supón esto …

Las mil y un derivadas (Formas del Operador Derivada)
Derivada como Operador Lineal:
Recuerda que la derivada es un operador Lineal:
- Conserva la Suma de Funciones:
Da lo mismo sacar la derivada de una suma de funciones que sumar la derivada de ambas funciones.
- Conserva la Multiplicación por un Escalar:
Da lo mismo sacar la derivada de una una función por una escalar que multiplicar la derivada de esa función por el escalar.
Es decir visualmente como:

Esto siempre se conserva
Las de Kinder

Las de memoria

Las clásicas

Una interesante pero no conocida
Funciones
Recuerda esta «simplificación» para que sea mas sencillo:

Simplificaciones
Los Clásicos de las Funciones

Suma (O Resta) de Funciones

Producto de Funciones

División de Funciones
Regla de la Cadena (La reglas más útil para ti)
Forma 1:
Repite después de mi: «La derivada de la composición de dos funciones es igual a: La derivada de la primera función evaluada en la segunda multiplicada por la derivada de la segunda«.

Esta Formula es como tu Biblia
Aquí hay un par de cosas que me gustaría contarles:
- La mitad de las dificultades de esta formula esta en encontrar que tu expresión rara se puede expresar como una composición de funciones.
- Recuerda que la ultima parte, esa función interna ( g(x) ) puede ser también una composición de funciones, así que esta formula cambie puede ser recursiva.
Forma 2:
Se puede derivar una función más compleja si se usa una variable intermedia y luego se multiplica por la derivada de dicha variable.

Usando esta regla sabremos que:

Potencias de Funciones

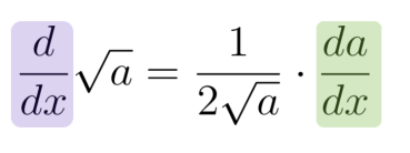
Raíces de Funciones

Raíces

Exponenciales

Logaritmos
Trigonométricas

Básicas

Las reciprocas

Las inversas 😀

Las inversas de las reciprocas (que complejo suena eso D:)
