Características
- Este tipo de corriente es producida por los Alternadores (Sí, así de originales son con los nombres).
- Es más eficiente para transportar a lo largo de largas distancias.
- La onda de Voltaje y Corriente es una onda senoidal (y después dicen que cálculo y trigonometría no sirve para nada).
¿Cómo se genera una onda de CA?
Siendo muy quisquillosos se puede explicar a la perfección con la Ley de Faraday, pero para ponerlo simple es gracias al movimiento, el movimiento, digamos del imán, ese movimiento, digamos un giro continuo provoca algo muy curioso sobre un conductor..

Cortesía: Electric Academy
Ese cambio en el campo magnetizo debido al imán que gira hace que conductor sienta una corriente, esta aumenta y aumenta, llega a un máximo, decrece y llega a cero, la corriente sigue ahora en el otro sentido esa bajar de regreso a cero..y así una y otra vez.
Analizar Función Onda
Tanto la corriente como el voltaje en corriente alterna (debería) seguir una onda perfecta senoidal ( o cosenoidal, después de todo son lo mismo). Mira esta gráfica:

Gráfica de la Función
Como puedes ver estamos graficando cuanto vale la corriente o el voltaje con respecto al tiempo, estamos viendo como cambia. Y ahora gracias a esta gráfica podemos hablar de este punto ahora de dos maneras:

Punto de Ejemplo
Así podemos hablar de este punto azul de dos maneras:

Ahora para hablar de ese punto ya no solo podemos decir que es cuando el voltaje es de 5v, sino también que es el punto en el que la onda vale 90°.

Esto es un ciclo.
Voltaje y Corriente en CA

Velocidad de la onda

Voltaje en cualquier momento

Corriente en cualquier momento
Tipos de Voltaje en CA
Y como te darás cuenta el valor de cualquier cosa como el voltaje o la corriente cambia, hay varios valores importantes que hay que recordar:
- Vpico: Es el valor máximo que alcanzará nuestra onda con respecto a cero volts.
- Vpico-pico: Es el valor que hay entre dos picos, osea simplemente Vpico*2.
- Vprom-Vcd: Es el valor promedio a lo largo de medio ciclo, este es igual a Vpico*0.637.

- Vrms: Es el valor efectivo a lo largo de un ciclo, este es igual a Vpico*0.707 (Es el valor justo a 45° de la onda).

Recuerda: TODOS los voltajes en CA se dan en Vrms
Desfase
En Corriente Alterna (CA para los amigos) las ondas de las tensiones y las intensidades son ondas senoidales y están desfasadas (palabra clave), es decir una va unos cuantos instantes «tarde» en el tiempo. (excepto en los circuitos con puras resistencias).

Desfase como gráfica

Como fasores
Es por esto que las tensiones, intensidades, etc. deben de tratarse como vectores, en lugar de números enteros.
Este ángulo de desfase se llama ρ (fi para los amigos) y el cos(ρ) se conoce como factor de potencia.
…¿Pero qué me acabas de contar?
No te preocupes, lo que pasa es que para que entendamos fasores, primero tendré que desviarme un poco y les hablaré de los números complejos, pueden ver mi lección aquí.
Ok, ok, vamos bien, pues ahora vean como es que es la corriente alterna:

Si es que es como si fuera un vector que solo gira y gira, o un número complejo que solo gira y gira, si tan solo hubiera un forma de describir eso : (
…Espera ¡Si eso son los fasores!
Fasores
«Es un vector que da vueltas»
Fasor es una magnitud de naturaleza compleja cuyo argumento aumenta uniformemente con el tiempo. En su representación geométrica, puede interpretarse como un “número complejo rotatorio”. (Es más su definición hasta nos da una pista en que lo vamos a usar).
El argumento del fasor será de la forma:
![]()
Normalmente se le representan en el instante t = 0. La notación fasorial es muy adecuada para la representación de la amplitud y de la fase de una oscilación.

Fasores
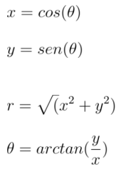
Las Coordenadas Polares
En este sistema se necesitan un ángulo (q) y una distancia (r). Para medir q, en radianes, necesitamos una semirecta dirigida llamada eje polar y para medir r, un punto fijo llamado polo.
…Mejor te pongo un diagrama

No te preocupes, aquí están las fórmulas ; )

Inductores y Capacitores en CA

Efecto de un Capacitor, la corriente va adelantada

Efecto de un Inductor, la corriente va atrazada
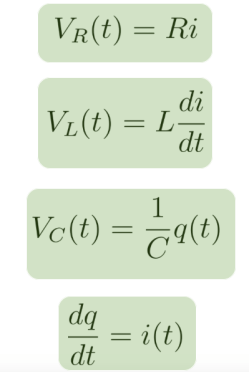
Análisis de Circuitos usando Ecuaciones Diferenciales
Podemos hablar de los circuitos de manera muy formal y exacta usando ecuaciones, estas formulas son:

Análisis de Circuitos de AC
Para poder analizar estos circuitos tan raros entremos , primero que hablar de algo llamado impedancia:
Impedancia
La impedancia es una manera mas general de hablar de resistencia o más bien de hablar de la oposición de los elementos a la electricidad.

Incluso se gobierna con una ley muy parecida…
Esta la podemos dividir en 3 partes:


Resistencia Pura:
Esta sale de la Ley de Ohm y permanece infectada por la frecuencia de la fuente de alimentación, pero los otros dos elementos, son un poquito más complicados.

Resistencia Inductiva o Reactancia:
En corriente alterna recuerda que un inductor no funciona como un circuito cerrado, sino que mas bien genera una especie de resistencia, esta se calcula de esta manera:

Recuerda que se mide en Ohms.

Y que esta «resistencia» se hace mas grande mientras mas grande sea la frecuencia de la fuente de alimentación.
Resistencia Capacitiva o Reactancia:
En corriente alterna recuerda que un capacitor no funciona como un circuito abierto, sino que mas bien genera una especie de resistencia, esta se calcula de esta manera:

Recuerda que se mide en Ohms.

Y que esta «resistencia» se hace mas pequeña mientras mas grande sea la frecuencia de la fuente de alimentación.
Así podemos saber que le pasa a la corriente dibujándolo en le plano de los complejos:
Diagrama de Fasores
Con este diagrama podemos llegar a algo muy importante, ya que si la Reactancia del inductor es mayor que la del capacitor, este circuito actuará más como un circuito RL sino actuará mas como un circuito RC.

Diagrama de Corriente de Forma Fasorial
Y ahora con estas 3 podemos llegar a nuestra impedancia, justo como esperábamos:



Fórmula como numero complejo

Fórmula mágica como fasor

Angulo de desfase
Recuerda que este angulo nos dice como el ángulo de desfase entre el voltaje y la corriente.
Análisis del Circuito
Ahora para encontrar la corriente que pasa por nuestro circuito se puede calcular de manera muy sencilla con esta fórmula:

Recuerda que si colocas en voltaje el voltaje pico, encontraras la corriente pico, si colocas el valor rms encontraras la corriente rms.
Ahora para encontrar las caídas de voltaje entre cada elemento basta con usar nuez nueva Ley de Ohm:
Recuerda que aquí no vas a encontrar los voltaje en un mismo punto del tiempo, por lo que las caídas de voltaje no van a igualar al voltaje de la fuente de alimentación. Recuerda que estas calculando la caída de voltaje pico o rms.
Voltajes como Fasores
También podemos encontrar el ángulo de desfase usando los voltajes, solo para comprobar:


Para hacer un circuito pero en paralelo se sigue la misma idea:
Puedes conocer mas aquí: http://www.electronics-tutorials.ws/accircuits/parallel-circuit.html
![]() |
![]() |
![]() |
|
































































































La corriente directa (CD) o corriente continua (CC) (hay una diferencia entre ambos nombres, pero por ahora asumiremos que son sinónimos) es aquella cuyas cargas eléctricas o electrones fluyen siempre en el mismo sentido en un circuito eléctrico cerrado, moviéndose del polo negativo hacia el polo positivo de una fuente de fuerza electromotriz (FEM), tal como ocurre en las baterías.
























