Resulta que integrar no es tan fácil como parece, pero hay algunas técnicas que pueden ayudarte
Cambio de Variable
Sustitución de U
Se trata de reescribir toda la integral en términos de una nueva variable, generalmente una letra que nadie usaría de forma normal : U, es decir:
- Se sustituye X en términos de U
- dx en términos de du

Recuerda:
No pongas límite (en caso de tenerlo) hasta terminar de Integral

Integral por Partes
¿De donde sale la fórmula? Esto es de verdad muy útil de saberlo, veamos:

Ahora viene la pregunta del millón:
¿Cuál es U y cual dV?
Sustitución Trigonométrica
La forma más sencilla es aprenderse esta tabla y tenerla a la mano por cualquier cosa:

Construir el triángulo
- Despejar la función trigonométrica del cambio de variable.
- Con esto se obtiene 2 lados y el último es el tipo de sustitución trigonométrica, se puede comprobar con Pitágoras.
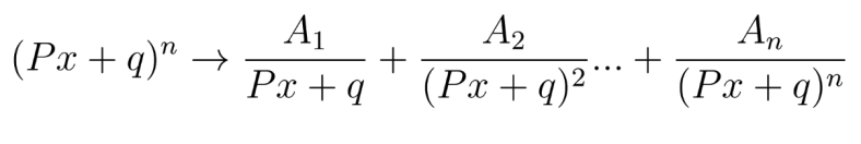
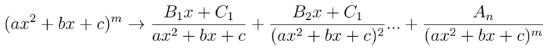
Fracciones Parciales
Bienvenidos al tema más estúpidamente largo de esta materia, pero no te preocupes, todo estará bien.
El primer paso es ver como es ver si debemos dividir la expresión o no, para hacerlo, basta con ver el grado de los polinomios:

Para saber que hacer ve el grado
Para Factorizar Q(x) haremos esto:



