«Cuando asignamos un valor a X la variable Y adquiere un único valor, se dice que tal relación es una función».

En donde:
- Y dependiente
- X independiente
- Y es función de X
- Y depende de X
- Y es el nombre de la variable
Dominio de la Función

Conjunto de valores que adquiere la variable independiente (X), para los cuales la dependiente (Y) es un número real.
Por lo tanto que una función esté definida en los Reales significa que al asignar un valor a X la variable dependiente (Y) no debe presentar ninguna de las siguientes.
Indeterminación
- 0/0
- K/0
- Infinito
- Raíz negativa
Intervalo
Contradominio, Rango y Recorrido, Imagen

Es el conjunto de valores que adquiere la función.
Es muy fácil poder despejar la variable Y y calcular su dominio.
Valuar una Función
Para el estudio de una función es necesario conocer qué valor toma la función para un determinado valores de X ya sea # o literal.
Funciones Explícitas
En las funciones explícitas se pueden obtener las imágenes de x por simple sustitución.
![]()
Funciones Implícitas
En las funciones implícitas no se pueden obtener las imágenes de x por simple sustitución, sino que es preciso efectuar operaciones.
![]()
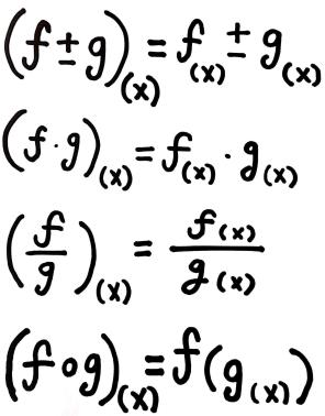
Operaciones
El dominio de estas operaciones es la intersección del dominio de f(x) y g(x)
Excepto en el cociente donde es la intersección de ambos y donde g(x) ≠0


Prueba de la Línea Vertical

Una curva en el plano xy es la gráfica de una función de x si y sólo si ninguna línea vertical se interseca con la curva más de una vez.
Funciones Famosas










Traslación de Funciones

Translación
Alargamiento y Reflexión

Simetría


Funciones Trascendental
En las funciones trascendentes la variable independiente figura como exponente, o como índice de la raíz, o se halla afectada del signo logaritmo o de cualquiera de los signos que emplea la trigonometría.
Exponenciales

- Los puntos (0,1) y (1,a) siempre existen
- Crece si a > 1
- Decrece si a < 1


Logarítmicas
La función logarítmica en base a es la función inversa de la exponencial en base a.
![]()

Trigonométricas
La funciones trigonométricas asocian a cada número real, x, el valor de la razón trigonométrica del ángulo cuya medida en radianes es x.
![]()
Función Recíproca
La función recíproca o inversa de f , son como:
![]()
![]()

Para obtener la ecuación hay que despejar a la variable x
Función Inversa

La función recíproca o inversa de es otra función son como:
![]()
![]()
Funciones Racionales

Dominio: Son todos los reales menos cuando g(x) = 0
Raíces: Son cuando h(x)=0
Asíntotas






