
En este post veremos:
- ¿Qué es un vector?
- Dirección y Sentido
- Magnitud
- Vectores Unitarios
- Componentes
Bienvenidos a la primera lección de Análisis / Cálculo Vectorial, vamos, empecemos:
» Un vector es una herramienta matemática que se representa por un módulo, una dirección y un sentido.»
– Un libro muy importante y serio

También otra forma de entenderlo es pensar en un segmento (o pedazo) de recta, llamemosla PQ, donde P es el origen y Q el punto terminal.
Y si… eso es todo, explicar más a detalle esa definición es bastante complicado, es mucho más fácil aprender esto aplicando los conceptos, así que si, quédate con esa idea y veamos cómo cambian las matemáticas cuando cambiamos nuestros conocidos números de toda la vida (aquí les llamamos escalares) por nuestro nuevo juguete, los vectores.
Así que veamos las características más importantes de estos:
Dirección y Sentido
Esto es lo más difícil de este tema, (¡Recordar cual es cual!) así que en palabras sencillas para que lo recuerdes esto sería algo así:
- Dirección: Es la orientación que tiene el vector, es decir, sus ángulos con respecto a los ejes.
- Sentido: Es hacia donde apunta el vector, es
decir, por ejemplo, si apunta hacia el norte o al sur.
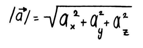
Magnitud / Norma / Módulo
El módulo de un vector es la longitud del segmento orientado que lo define… ósea, es el tamaño del vector.

Gracias a la formulita de arriba podemos deducir unas cuantas cosas importantes:
- El módulo es un número siempre positivo.
- Solo el vector nulo tiene módulo cero.
Vector Unitario
Ahora con todo esto entendido, podemos pasar al primer tema de verdad interesante, los vectores unitarios.
¿Pero qué demonios son? Muy fácil, primero, tenemos un vector normal A, entonces el vector unitario de A es un vector igualito a A, pero cuyo tamaño es sólo de uno.

¿Y matemáticamente como lo calculamos?
Muy fácil, podemos encontrar nuestro vector unitario u simplemente dividiendo a A entre su magnitud.

Ejemplo:

Vectores Unitarios a los Ejes
Ok, lo admito, no se donde poner este tema, si lo se, se que debería ir antes, pero espero que el lector me perdone.
En resumen, les contaré algo, podemos hablar de vectores en dos sentidos.
- Dando su magnitud y un ángulo (Del estilo, un vector de 13N a 12 grados NE)
- Dando sus componentes (Del estilo 3i + 5j +3k)
¿Quieren escuchar un secreto? Todos los matemáticos odiamos la primera, de verdad que la odiamos con toda nuestra alma -.- , así que te mostraré la segunda :3

Aquí está nuestro querido plano cartesiano, con sus 3 dimensiones X,Y,Z ; ahora a cada una de ellas le vamos adjuntar (o asociar) un vector unitario muy especial: i,j,k.
¿Por qué estas letras? La verdad ni yo lo sé, pero ya es una convención (ósea algo que usa mucha gente) en la materia, así que la usaremos para que puedan entender un libro sobre este tema sin demasiados problemas.
Ahora con esta nueva información podemos describir a un vector no por su magnitud y su sentido, sino como la suma o componentes en cada sentido….
¿no entendiste la última línea? No te preocupes, solo sigue leyendo, es normal.

Componentes de Vectores
¿Y cómo demonios averiguo que númeritos poner en i,j,k si solo me dan su magnitud y un ángulo?
Esa es una excelente pregunta Timmy (si, te llamaré Timmy, te guste o no) para contestarla vamos a usar algo llamado componentes.
Las componentes de un vector son simplemente vectores que van sobre los ejes, tales que si sumo todos los componentes de un vector, obtengo el vector….Si, es mucho más fácil verlo que explicarlo:
Componentes en 2D

Componentes en 2D
Estas son las más sencillas, tendremos nuestro vector r (simplemente porque me canse de la A) y un ángulo con respecto al Eje X.
Nota: Al igual que por muchas cosas, por convención siempre medimos el ángulo de una vector con respecto al eje x, no me preguntes porque -.-
Entonces, para sacar cada componente, solo sigue la fórmula de abajo, estas se deducen de trigonometría (próximo curso de eso seguro).
Componentes en 3D

Componentes en 3D
Son basicamente las mismas que en 2D, solo que con un paso extra, primero, sacas un ángulo con respecto a Z, y respecto a este sacas una proyección.
Y trabajas esa proyección como si fuera un vector en el plano XY.
… O simplemente puedes seguir las fórmulas ; )
¡Es mucho más fácil!
¡Perfecto!

Has logrado llegar al final de la primera lección, las cosas ahora se pondrán mas interesantes, ya sabes que un vector y sus características, ahora veamos la siguiente pregunta:
¿Qué pasa si quiero sumar un vector?
Da click para la siguiente Lección: Álgebra Vectorial
![]() |
![]() |
![]() |
|


